   |
工作原理/working principle-----------------------------------------------------------◆◆
|
|
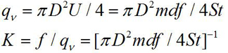
在流體中設置旋渦發生體(阻流體),從旋渦發生體兩側交替地產生有規則的旋渦,這種漩渦稱為卡曼渦街,如圖1所示。旋渦列在旋渦發生體下游非對稱地排列。設旋渦的發生頻率為f,被測介質來流的平均速度為U,旋渦發生體迎面寬度為d,表體通徑為D,根據卡曼渦街原理,有如下關系式:
|
|
式中: |
—旋渦發生體兩側平均流速,m/s |
—斯特勞哈爾數 |
—旋渦發生體兩側弓形面積與管道橫截面面積之比 |
 |
 |
|
圖1 卡曼渦街 |
|
|
瞬時體積流量 為: |
 |
|
式中K一流量計的儀表系數,脈沖數/m3 (P/m3 ) |
|
|
K除與旋渦發生體、管道的幾何尺寸有關外,還與斯特勞哈爾數有關。斯特勞哈爾數為無量綱參數,它與旋渦發生體形狀及雷諾數有關,圖2所示為圓柱狀旋渦發生體的斯特勞哈爾數與管道雷諾數的關系圖 |
|
由圖可見,在Re=2×104 ~7×106 范圍內,St可視為常數,這是儀表正常工作范圍。 |
|
 |
|
圖2 斯特勞哈爾數與雷諾數關系曲線圖 |
|
結構組成/Structural components-----------------------------------------------------◆◆
|
 |
|
轉換器 2.支撐桿 3.傳感器殼體 4.檢測元件 5.漩渦發生體6.溫度,壓力補償裝置 |
|
(含:溫度傳感器,壓力傳感器,截止閥,冷凝彎管) |
|
產品特點/Product features-----------------------------------------------------------◆◆
|
|
1.壓力損失小,量程范圍大,精度高; |
|
2.在測量工況體積流量時幾乎不受流體密度、壓力、溫度、粘度等參數的影響; |
|
3.無可動機械零件,因此可靠性高、維護量小; |
|
4.儀表參數能長期穩定。本儀表采用壓電應力式傳感器,可靠性高,可在-25℃~+320℃的工作溫度范圍內工作; |
|
5.應用范圍廣,蒸汽,氣體,液體等流體流量均可測量; |
|
6.基于點陣顯示的人性化菜單和界面,配合明亮的背光,支持中文和英文兩種語言,適合各種客戶群; |
|
7.支持溫度、壓力測量,方便氣體介質溫壓補償的需求; |
|
8.支持流速換算顯示功能,方便現場看當前流速; |
|
9.支持分屏顯示功能,可以讓屏幕上放大顯示單個或兩個參數(溫度,壓力,工況、標況的流量和流速等); |
|
10.仿真輸出功能,支持4-20mA電流仿真、頻率輸出仿真,方便現場非實流調試; |
|
11.支持4-20mA輸出、脈沖(當量)輸出、報警輸出、RS485通訊輸出; |
|
12.兩線制、三線制都分別DCDC(DC1000V)隔離; |
|
技術參數/Technical parameters-------------------------------------------------------◆◆
|
|
1.主要技術參數 |
|
測量介質 |
氣體、液體、蒸汽 |
|
執行標準 |
渦街流量傳感器(JB/T 9249-1999) |
|
檢定規程 |
渦街流量計(JJG 1029-2007) |
|
連接方式 |
卡裝式、法蘭式 |
|
公稱口徑 |
DN25、DN32、DN40、DN50、DN65、DN80、DN100、DN125、DN150、DN200、DN250、DN300 |
|
法蘭標準 |
常規標準 |
GB/T9113-2000 |
|
其他標準 |
國際管法蘭標準 |
如德標DIN、美標ANSI、日標JIS |
|
國內管法蘭標準 |
如化工部標準、機械部標準 |
|
檢定條件 |
檢定裝置 |
音速噴嘴流量檢定裝置 |
|
精度等級 |
1.5級 |
|
量程比 |
1:10 |
|
流速范圍 |
液體:0.5~7m/s 氣體:5~50m/s |
|
儀表材質 |
304不銹鋼,316不銹鋼 |
|
溫度范圍 |
-25℃~100℃、-25℃~+280℃、-25℃~+320℃ |
|
壓力等級 |
1.6MPa、2.5MPa、4.0MPa |
|
輸出信號 |
脈沖頻率信號 |
|
兩線制4-20mA DC電流信號 |
|
485通訊 |
|
供電電源 |
24V DC |
|
防爆等級 |
基本型:非防爆產品,防爆型:Exd ⅡBT4 |
|
防護等級 |
IP65 |
|
環境條件 |
環境溫度:-25℃~55℃ 相對濕度:5~90% 大氣壓力:86~106KPa |
|
|
|
|
2.液體、工況氣體流量范圍 |
|
通徑 DN(mm) |
液體 (m3/h) |
氣體 (m3/h) |
通徑 DN(mm) |
液體 (m3/h) |
氣體 (m3/h) |
|
25 |
1~12 |
8~80 |
100 |
20~200 |
140~1400 |
|
32 |
1.5~23 |
15~150 |
125 |
31~310 |
220~2200 |
|
40 |
2.4~32 |
23~230 |
150 |
45~450 |
300~3000 |
|
50 |
6.3~84 |
35~350 |
200 |
80~800 |
550~5500 |
|
65 |
10~130 |
60~600 |
250 |
150~1500 |
880~8800 |
|
80 |
10~130 |
90~900 |
300 |
200~2000 |
1300~13000 |
|
|
|
|
3.常用氣體介質的標準狀態下密度(0.1013mbar,20℃) |
|
氣體 |
密度(Kg/m3 ) |
氣體 |
密度(Kg/m3 ) |
氣體 |
密度(Kg/m3 ) |
|
乙炔 |
1.083 |
正丁烷 |
2.1463 |
乙烷 |
1.2500 |
|
氨氣 |
0.7080 |
乙烯 |
1.1660 |
甲烷 |
0.6669 |
|
丙烷 |
1.8332 |
氖氣 |
0.83914 |
天燃氣 |
0.776 |
|
空氣 |
1.2041 |
氬氣 |
1.6605 |
二氧化碳 |
1.829 |
|
一氧化碳 |
1.165 |
氫氣 |
0.0838 |
氧氣 |
1.3302 |
|
丙烯 |
1.7459 |
氮氣 |
1.1646 |
|
|
|
|
|
|
4.飽和蒸汽密度表 |
|
表壓(MPa) |
溫度(℃) |
密度(kg/m3 ) |
表壓(MPa) |
溫度(℃) |
密度(kg/m3 ) |
|
0.1 |
120.23 |
1.129 |
1.0 |
184.15 |
5.641 |
|
0.2 |
133.54 |
1.651 |
1.1 |
187.96 |
6.127 |
|
0.3 |
143.62 |
2.163 |
1.3 |
195.04 |
7.106 |
|
0.4 |
151.84 |
2.669 |
1.5 |
201.37 |
8.085 |
|
0.5 |
158.94 |
3.170 |
1.7 |
207.11 |
9.065 |
|
0.6 |
164.96 |
3.667 |
1.9 |
212.37 |
10.05 |
|
0.7 |
170.41 |
4.162 |
2.1 |
217.32 |
11.032 |
|
0.8 |
175.36 |
4.655 |
2.3 |
221.86 |
12.019 |
|
0.9 |
179.88 |
5.147 |
2.5 |
226.11 |
13.011 |
|
|
|
|
5.過熱蒸汽密度表 |
|
絕壓P (MPa) |
溫度t(℃) |
|
100 |
110 |
120 |
130 |
140 |
150 |
160 |
170 |
180 |
|
0.1 |
0.590 |
0.573 |
0.558 |
0.543 |
0.529 |
0.516 |
0.504 |
0.492 |
0.481 |
|
0.2 |
—— |
—— |
1.137 |
1.099 |
1.070 |
1.042 |
1.016 |
0.992 |
0.969 |
|
0.3 |
—— |
—— |
—— |
1.674 |
1.622 |
1.578 |
1.537 |
1.499 |
1.463 |
|
0.4 |
—— |
—— |
—— |
—— |
2.197 |
2.125 |
2.067 |
2.014 |
1.964 |
|
0.5 |
—— |
—— |
—— |
—— |
—— |
2.666 |
2.608 |
2.528 |
2.472 |
|
0.6 |
—— |
—— |
—— |
—— |
—— |
—— |
3.159 |
3.071 |
2.989 |
|
0.7 |
—— |
—— |
—— |
—— |
—— |
—— |
—— |
3.614 |
3.514 |
|
0.8 |
—— |
—— |
—— |
—— |
—— |
—— |
—— |
4.168 |
4.048 |
|
0.9 |
—— |
—— |
—— |
—— |
—— |
—— |
—— |
—— |
4.591 |
|
1.0 |
—— |
—— |
—— |
—— |
—— |
—— |
—— |
—— |
5.145 |
|
1.1 |
—— |
—— |
—— |
—— |
—— |
—— |
—— |
—— |
—— |
|
1.2 |
—— |
—— |
—— |
—— |
—— |
—— |
—— |
—— |
—— |
|
1.3 |
—— |
—— |
—— |
—— |
—— |
—— |
—— |
—— |
—— |
|
1.4 |
—— |
—— |
—— |
—— |
—— |
—— |
—— |
—— |
—— |
|
1.5 |
—— |
—— |
—— |
—— |
—— |
—— |
—— |
—— |
—— |
|
1.6 |
—— |
—— |
—— |
—— |
—— |
—— |
—— |
—— |
—— |
|
1.7 |
—— |
—— |
—— |
—— |
—— |
—— |
—— |
—— |
—— |
|
1.8 |
—— |
—— |
—— |
—— |
—— |
—— |
—— |
—— |
—— |
|
1.9 |
—— |
—— |
—— |
—— |
—— |
—— |
—— |
—— |
—— |
|
2.0 |
—— |
—— |
—— |
—— |
—— |
—— |
—— |
—— |
—— |
|
2.1 |
—— |
—— |
—— |
—— |
—— |
—— |
—— |
—— |
—— |
|
2.2 |
—— |
—— |
—— |
—— |
—— |
—— |
—— |
—— |
—— |
|
2.3 |
—— |
—— |
—— |
—— |
—— |
—— |
—— |
—— |
—— |
|
2.4 |
—— |
—— |
—— |
—— |
—— |
—— |
—— |
—— |
—— |
|
2.5 |
—— |
—— |
—— |
—— |
—— |
—— |
—— |
—— |
—— |
|
2.6 |
—— |
—— |
—— |
—— |
—— |
—— |
—— |
—— |
—— |
|
2.7 |
—— |
—— |
—— |
—— |
—— |
—— |
—— |
—— |
—— |
|
2.8 |
—— |
—— |
—— |
—— |
—— |
—— |
—— |
—— |
—— |
|
2.9 |
—— |
—— |
—— |
—— |
—— |
—— |
—— |
—— |
—— |
|
3.0 |
—— |
—— |
—— |
—— |
—— |
—— |
—— |
—— |
—— |
|
3.1 |
—— |
—— |
—— |
—— |
—— |
—— |
—— |
—— |
—— |
|
3.2 |
—— |
—— |
—— |
—— |
—— |
—— |
—— |
—— |
—— |
|
3.3 |
—— |
—— |
—— |
—— |
—— |
—— |
—— |
—— |
—— |
|
3.4 |
—— |
—— |
—— |
—— |
—— |
—— |
—— |
—— |
—— |
|
3.5 |
—— |
—— |
—— |
—— |
—— |
—— |
—— |
—— |
—— |
|
3.6 |
—— |
—— |
—— |
—— |
—— |
—— |
—— |
—— |
—— |
|
3.7 |
—— |
—— |
—— |
—— |
—— |
—— |
—— |
—— |
—— |
|
3.8 |
—— |
—— |
—— |
—— |
—— |
—— |
—— |
—— |
—— |
|
3.9 |
—— |
—— |
—— |
—— |
—— |
—— |
—— |
—— |
—— |
|
4.0 |
—— |
—— |
—— |
—— |
—— |
—— |
—— |
—— |
—— |
|
|
|
|
絕壓P (MPa) |
溫度t(℃) |
|
190 |
200 |
210 |
220 |
230 |
240 |
250 |
260 |
270 |
|
0.1 |
0.471 |
0.460 |
0.451 |
0.441 |
0.432 |
0.424 |
0.416 |
0.408 |
0.400 |
|
0.2 |
0.947 |
0.926 |
0.906 |
0.887 |
0.868 |
0.851 |
0.834 |
0.818 |
0.803 |
|
0.3 |
1.428 |
1.396 |
1.365 |
1.336 |
1.308 |
1.281 |
1.256 |
1.231 |
1.208 |
|
0.4 |
1.916 |
1.872 |
1.829 |
1.789 |
1.751 |
1.715 |
1.680 |
1.647 |
1.615 |
|
0.5 |
2.411 |
2.353 |
2.299 |
2.247 |
2.198 |
2.152 |
2.108 |
2.066 |
2.052 |
|
0.6 |
2.912 |
2.841 |
2.773 |
2.710 |
2.650 |
2.593 |
2.539 |
2.487 |
2.438 |
|
0.7 |
3.421 |
3.334 |
3.253 |
3.178 |
3.106 |
3.038 |
2.973 |
2.911 |
2.853 |
|
0.8 |
3.937 |
3.834 |
3.738 |
3.650 |
3.565 |
3.486 |
3.411 |
3.389 |
3.271 |
|
0.9 |
4.461 |
4.342 |
4.230 |
4.127 |
4.029 |
3.939 |
3.852 |
3.769 |
3.691 |
|
1.0 |
4.995 |
4.857 |
4.728 |
4.610 |
4.498 |
4.394 |
4.297 |
4.023 |
4.115 |
|
1.1 |
5.538 |
5.379 |
5.233 |
5.088 |
4.973 |
4.855 |
4.745 |
4.641 |
4.542 |
|
1.2 |
6.089 |
5.909 |
5.745 |
5.593 |
5.452 |
5.321 |
5.197 |
5.082 |
4.972 |
|
1.3 |
6.614 |
6.448 |
6.263 |
6.093 |
5.936 |
5.790 |
5.654 |
5.526 |
5.402 |
|
1.4 |
—— |
6.996 |
6.789 |
6.600 |
6.426 |
6.265 |
6.115 |
5.974 |
5.841 |
|
1.5 |
—— |
7.554 |
7.324 |
7.114 |
6.922 |
6.744 |
6.579 |
6.425 |
6.280 |
|
1.6 |
—— |
—— |
7.866 |
7.635 |
7.423 |
7.229 |
7.049 |
6.880 |
6.723 |
|
1.7 |
—— |
—— |
8.418 |
8.163 |
7.931 |
7.719 |
7.522 |
7.340 |
7.169 |
|
1.8 |
—— |
—— |
8.978 |
8.699 |
8.446 |
8.214 |
8.001 |
7.803 |
7.619 |
|
1.9 |
—— |
—— |
9.549 |
9.234 |
8.967 |
8.715 |
8.484 |
8.271 |
8.072 |
|
2.0 |
—— |
—— |
—— |
9.795 |
9.485 |
9.222 |
8.973 |
8.743 |
8.529 |
|
2.1 |
—— |
—— |
—— |
10.356 |
10.030 |
9.735 |
9.466 |
9.219 |
8.990 |
|
2.2 |
—— |
—— |
—— |
10.927 |
10.573 |
10.255 |
9.965 |
9.700 |
9.455 |
|
2.3 |
—— |
—— |
—— |
11.507 |
11.124 |
10.781 |
10.470 |
10.186 |
9.924 |
|
2.4 |
—— |
—— |
—— |
—— |
11.683 |
11.313 |
10.980 |
10.676 |
10.397 |
|
2.5 |
—— |
—— |
—— |
—— |
12.250 |
11.853 |
11.496 |
11.172 |
10.875 |
|
2.6 |
—— |
—— |
—— |
—— |
12.827 |
12.401 |
12.019 |
11.673 |
11.356 |
|
2.7 |
—— |
—— |
—— |
—— |
13.414 |
12.957 |
12.547 |
12.179 |
11.843 |
|
2.8 |
—— |
—— |
—— |
—— |
—— |
13.519 |
13.082 |
12.690 |
12.334 |
|
2.9 |
—— |
—— |
—— |
—— |
—— |
14.090 |
13.624 |
13.208 |
12.830 |
|
3.0 |
—— |
—— |
—— |
—— |
—— |
14.671 |
14.174 |
13.731 |
13.331 |
|
3.1 |
—— |
—— |
—— |
—— |
—— |
15.260 |
14.731 |
14.260 |
13.837 |
|
3.2 |
—— |
—— |
—— |
—— |
—— |
15.859 |
15.295 |
14.796 |
14.348 |
|
3.3 |
—— |
—— |
—— |
—— |
—— |
16.468 |
15.868 |
15.338 |
14.864 |
|
3.4 |
—— |
—— |
—— |
—— |
—— |
—— |
16.448 |
15.887 |
15.387 |
|
3.5 |
—— |
—— |
—— |
—— |
—— |
—— |
17.037 |
16.442 |
15.914 |
|
3.6 |
—— |
—— |
—— |
—— |
—— |
—— |
17.636 |
17.007 |
16.447 |
|
3.7 |
—— |
—— |
—— |
—— |
—— |
—— |
18.245 |
17.578 |
16.990 |
|
3.8 |
—— |
—— |
—— |
—— |
—— |
—— |
18.861 |
18.155 |
17.535 |
|
3.9 |
—— |
—— |
—— |
—— |
—— |
—— |
19.489 |
18.741 |
18.087 |
|
4.0 |
—— |
—— |
—— |
—— |
—— |
—— |
—— |
19.335 |
18.646 |
|
|
|
|
絕壓P (MPa) |
溫度t(℃) |
|
280 |
290 |
300 |
310 |
320 |
330 |
340 |
350 |
|
0.1 |
0.393 |
0.386 |
0.379 |
0.372 |
0.366 |
0.360 |
0.354 |
0.348 |
|
0.2 |
0.788 |
0.774 |
0.760 |
0.747 |
0.734 |
0.721 |
0.709 |
0.698 |
|
0.3 |
1.185 |
1.163 |
1.142 |
1.122 |
1.103 |
1.084 |
1.066 |
1.049 |
|
0.4 |
1.585 |
1.555 |
1.527 |
1.500 |
1.474 |
1.449 |
1.424 |
1.400 |
|
0.5 |
1.986 |
1.949 |
1.914 |
1.879 |
1.846 |
1.815 |
1.784 |
1.754 |
|
0.6 |
2.391 |
2.345 |
2.302 |
2.260 |
2.220 |
2.182 |
2.145 |
2.109 |
|
0.7 |
2.797 |
2.743 |
2.693 |
2.643 |
2.596 |
2.551 |
2.507 |
2.465 |
|
0.8 |
3.206 |
3.145 |
3.085 |
3.028 |
2.974 |
2.921 |
2.871 |
2.822 |
|
0.9 |
3.608 |
3.547 |
3.479 |
3.405 |
3.352 |
3.293 |
3.236 |
3.181 |
|
1.0 |
4.032 |
3.952 |
3.876 |
3.804 |
3.734 |
3.667 |
3.602 |
3.541 |
|
1.1 |
4.448 |
4.359 |
4.275 |
4.195 |
4.117 |
4.042 |
3.971 |
3.902 |
|
1.2 |
4.869 |
4.771 |
4.675 |
4.587 |
4.500 |
4.419 |
4.304 |
4.264 |
|
1.3 |
5.291 |
5.181 |
5.079 |
4.980 |
4.888 |
4.789 |
4.710 |
4.630 |
|
1.4 |
5.718 |
5.596 |
5.485 |
5.376 |
5.274 |
5.179 |
5.084 |
4.995 |
|
1.5 |
6.143 |
6.013 |
5.893 |
5.777 |
5.666 |
5.559 |
5.459 |
5.362 |
|
1.6 |
6.575 |
6.435 |
6.301 |
6.177 |
6.057 |
5.942 |
5.834 |
5.730 |
|
1.7 |
7.008 |
6.859 |
6.716 |
6.579 |
6.541 |
6.329 |
6.211 |
6.099 |
|
1.8 |
7.446 |
7.283 |
7.133 |
6.983 |
6.849 |
6.716 |
6.592 |
6.470 |
|
1.9 |
7.886 |
7.710 |
7.547 |
7.391 |
7.246 |
7.102 |
6.969 |
6.843 |
|
2.0 |
8.333 |
8.143 |
7.968 |
7.800 |
7.645 |
7.496 |
7.353 |
7.217 |
|
2.1 |
8.777 |
8.578 |
8.391 |
8.214 |
8.047 |
7.888 |
7.737 |
7.593 |
|
2.2 |
9.227 |
9.015 |
8.816 |
8.628 |
8.451 |
8.283 |
8.123 |
7.970 |
|
2.3 |
9.681 |
9.455 |
9.244 |
9.045 |
8.679 |
8.510 |
8.349 |
8.349 |
|
2.4 |
10.139 |
9.899 |
9.675 |
9.464 |
9.265 |
9.078 |
8.899 |
8.729 |
|
2.5 |
10.061 |
10.347 |
10.108 |
9.886 |
9.676 |
9.478 |
9.290 |
9.112 |
|
2.6 |
11.066 |
10.797 |
10.545 |
10.310 |
10.089 |
9.880 |
9.680 |
9.495 |
|
2.7 |
11.534 |
11.250 |
10.984 |
10.737 |
10.504 |
10.285 |
10.078 |
9.880 |
|
2.8 |
12.008 |
11.706 |
11.427 |
11.167 |
10.922 |
10.962 |
10.473 |
10.267 |
|
2.9 |
12.484 |
12.167 |
11.872 |
11.598 |
11.342 |
11.100 |
10.872 |
10.656 |
|
3.0 |
12.967 |
12.630 |
12.321 |
12.034 |
11.765 |
11.511 |
11.273 |
11.047 |
|
3.1 |
13.542 |
13.099 |
12.773 |
12.470 |
12.189 |
11.925 |
11.674 |
11.439 |
|
3.2 |
13.941 |
13.570 |
13.229 |
12.912 |
12.617 |
12.340 |
12.079 |
11.833 |
|
3.3 |
14.436 |
14.047 |
13.687 |
13.355 |
13.046 |
12.757 |
12.484 |
12.228 |
|
3.4 |
14.937 |
14.526 |
14.148 |
13.801 |
13.479 |
13.177 |
12.893 |
12.626 |
|
3.5 |
15.439 |
15.008 |
14.616 |
14.251 |
13.914 |
13.598 |
13.303 |
13.025 |
|
3.6 |
15.949 |
15.497 |
15.073 |
14.704 |
14.351 |
14.023 |
13.716 |
13.426 |
|
3.7 |
16.464 |
15.990 |
15.557 |
15.158 |
14.791 |
14.449 |
14.130 |
13.829 |
|
3.8 |
19.984 |
16.485 |
16.033 |
15.618 |
15.235 |
14.879 |
14.546 |
14.235 |
|
3.9 |
17.507 |
16.997 |
16.513 |
16.080 |
15.681 |
15.312 |
14.966 |
14.641 |
|
4.0 |
18.038 |
17.492 |
16.998 |
16.545 |
16.129 |
15.746 |
15.387 |
15.049 |
|
產品外形尺寸/Product dimensions-----------------------------------------------------◆◆
|
|
渦街流量計共有兩種連接方式及外形尺寸 |
 |
|
名稱 |
通徑 |
壓力等級 |
總長 |
總高 |
總寬 |
溫壓距離 |
法蘭外徑 |
殼體外徑 |
螺栓孔中心距 |
數量及孔徑 |
|
DN |
Mpa |
L |
G1 |
G2/G3 |
G4 |
D |
d |
K |
N*L |
|
卡裝式 單位(mm) |
25 |
4.0 |
90 |
485 |
235 |
145 |
—— |
Φ57 |
—— |
—— |
|
32 |
4.0 |
90 |
490 |
235 |
145 |
—— |
Φ65 |
—— |
—— |
|
40 |
4.0 |
90 |
495 |
235 |
145 |
—— |
Φ75 |
—— |
—— |
|
50 |
4.0 |
90 |
515 |
235 |
145 |
—— |
Φ87 |
—— |
—— |
|
65 |
1.6 |
90 |
530 |
240 |
150 |
—— |
Φ109 |
—— |
—— |
|
80 |
1.6 |
100 |
510 |
240 |
150 |
—— |
Φ120 |
—— |
—— |
|
100 |
1.6 |
100 |
585 |
250 |
160 |
—— |
Φ149 |
—— |
—— |
|
125 |
1.6 |
120 |
610 |
290 |
200 |
—— |
Φ175 |
—— |
—— |
|
150 |
1.6 |
120 |
640 |
330 |
230 |
—— |
Φ203 |
—— |
—— |
|
200 |
1.6 |
120 |
700 |
370 |
240 |
—— |
Φ259 |
—— |
—— |
|
250 |
1.6 |
110 |
650 |
450 |
290 |
—— |
Φ312 |
—— |
—— |
|
300 |
1.6 |
130 |
700 |
530 |
360 |
—— |
Φ363 |
—— |
—— |
|
法蘭式 單位(mm) |
25 |
4.0 |
170 |
460 |
235 |
145 |
Φ115 |
—— |
Φ85 |
4×Φ14 |
|
32 |
4.0 |
174 |
475 |
235 |
145 |
Φ140 |
—— |
Φ100 |
4×Φ18 |
|
40 |
4.0 |
180 |
480 |
235 |
145 |
Φ150 |
—— |
Φ110 |
4×Φ18 |
|
50 |
4.0 |
186 |
500 |
235 |
145 |
Φ165 |
—— |
Φ125 |
4×Φ18 |
|
65 |
1.6 |
186 |
515 |
240 |
150 |
Φ185 |
—— |
Φ145 |
4×Φ18 |
|
80 |
1.6 |
200 |
550 |
250 |
150 |
Φ200 |
—— |
Φ160 |
8×Φ18 |
|
100 |
1.6 |
204 |
565 |
270 |
160 |
Φ220 |
—— |
Φ180 |
8×Φ18 |
|
125 |
1.6 |
280 |
560 |
345 |
215 |
Φ250 |
—— |
Φ210 |
8×Φ18 |
|
150 |
1.6 |
300 |
590 |
410 |
270 |
Φ285 |
—— |
Φ240 |
8×Φ22 |
|
200 |
1.6 |
350 |
640 |
450 |
280 |
Φ340 |
—— |
Φ295 |
8×Φ22 |
|
250 |
1.6 |
380 |
700 |
530 |
320 |
Φ405 |
—— |
Φ355 |
12×Φ26 |
|
300 |
1.6 |
400 |
755 |
590 |
360 |
Φ460 |
—— |
Φ410 |
12×Φ26 |
|
|
接線指南/Wiring guide-----------------------------------------------------------------◆◆
|
|
1.接線端子圖 |
 |
|
2.接線端子含義 |
|
通訊 |
A |
RS485通訊 A |
|
B |
RS485通訊 B |
|
24V DC |
+ |
24V直流電源輸入(正) |
|
- |
24V直流電源輸入(負) |
|
電流 |
I+ |
4~20mA輸出 |
|
頻率 |
P+ |
24V頻率、脈沖輸出 |
|
報警 |
AH |
上限報警輸出 |
|
AL |
下限報警輸出 |
|
|
3.接線示意圖 |
|
① 兩線制 4-20mA輸出 |
|
② 三線制4~20mA輸出 |
 |
|
 |
|
③ 24V頻率、脈沖輸出 |
|
④ RS485通訊接口輸出 |
|
注:頻率輸出的負極和DC 24V的負極是公用的一個端子; 頻率、脈沖輸出必須按三線制接線,接線如下圖,兩線制不支持頻率、脈沖輸出; 默認出廠的頻率、脈沖輸出是有源輸出; 默認出廠的頻率、脈沖輸出空閑電平是高電平,來脈沖時為低電平。 |
|
注:RS485通訊必須按三線制接線,接線如下圖,兩線制不支持RS485通訊。 |
 |
|
 |
|
⑤ 報警信號輸出 |
|
⑥ 供電電源 |
|
注:報警輸出必須按三線制接線,接線如下圖,兩線制不支持報警輸出。 |
|
|
1.流量計需要流量脈沖信號輸出時,需外電源供電,供電電壓+24V DC.(三線制)。 |
|
2.流量計需要4~20mA電流信號輸出時,需加+24V DC外電源(兩線制或三線制)。 |
|
3.流量計需要RS485數據通訊時,需加+24V DC電源。(三線制)。 |
|
|
|
|
|
4.電氣特性 |
|
① 兩線制:最大值26V DC,最小值取決于負載, |
|
其換算公式為:RL=(Umin-17)/0.022,即Umin=RL*0.022+17 |
|
其中RL為負載電阻,單位(Ω)歐姆;Umin為最小供電電壓,單位(V)伏特,最大不要超過26V DC。 |
|
例如:一個250Ω的負載,最小的供電電壓Umin=250*0.022+17=22.5V。 |
|
② 三線制:供電范圍:12-26V DC; 功率:940mW MAX @26V DC |
|
安裝要求/Installation requirements-------------------------------------------------◆◆
|
|
渦街流量計屬于對管道流速分布畸變、旋轉流和流動脈動等敏感的流量計,因此,對現場管道安裝條件應充分重視,遵照生產廠使用說明書的要求執行。 |
|
渦街流量計屬于對管道流速分布畸變、旋轉流和流動脈動等敏感的流量計,因此,對現場管道安裝條件應充分重視,遵照生產廠使用說明書的要求執行。 渦街流量計可安裝在室內或室外。如果安裝在地下井里,有水淹的可能,要選用潛水型傳感器。傳感器在管道上可以水平、垂直或傾斜安裝,但測量液體和氣體時為防止氣泡和液滴的干擾,安裝位置要注意。 |
|
1.混相流體的安裝 |
 |
|
(a)測量含液體的氣體流量儀表安裝;(b)測量含氣液體流量儀表安裝 |
|
|
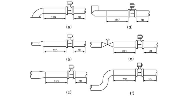
2.渦街流量計對下、下游直管長度的要求 |
 |
|
(a)一個90°彎頭;(b)同心擴管;(c)同心收縮全開閥門;(d)不同平面兩個90°彎頭;(e)調節閥半開閥門;(f)同一平面兩個90°彎頭 |
|
|
3.傳感器與管道的連接 |
 |
|
4.旁通管道示意圖 |
|
1)上、下游配管內徑D與傳感器內徑D′相同,其差異滿足下述條件:0.95D≤D′≤1.1D。 |
|
2)配管應與傳感器同心,同軸度應不小于0.05D′。 |
|
3)密封墊不能凸入管道內,其內徑可比傳感器內徑大1~2mm。 |
|
4)如需斷流檢查與清洗傳感器,應設置旁通管道如圖。 |
 |
|
5.安裝管道支撐實例 |
|
動源對渦街流量計的影響應該作為渦街流量計現場安裝的一個突出問題來關注。首先在選擇傳感器安裝場所時盡量注意避開振動源。其次采用彈性軟管連接,在小口徑中可以考慮。第三,加裝管道支撐物是有效的減振方法,一種管道支撐方法如圖。 |
 |
|
6.電氣安裝應注意傳感器與轉換器之前采用屏蔽電纜或低噪聲電纜連接,布線時應遠離強功率電源線,盡量用單獨金屬套管保護。應遵循“一點接地”原則,接地電阻應小于10Ω。整體型和分離型都應在傳感器側接地,轉換器外殼接地點應與傳感器“同地”。 |
常見故障及解決辦法/Common failures and solutions----------------------------------◆◆
|
|
故障現象 |
可能原因 |
處理方法 |
|
通電后無流量時有輸出信號 |
1.輸入屏蔽或接地不良,引入電磁干擾 |
1.改善屏蔽與接地,排除電磁干擾 |
|
2.儀表靠近強電設備或高頻脈沖干擾源 |
2.遠離干擾源安裝,采取隔離措施加強電源濾波 |
|
3.管道有較強振動3.管道有較強振動 |
3.采限減震措施。 |
|
通電通流后 無輸出信號 |
1.電源出故障 |
1.檢查電源與接地 |
|
2.入信號線斷線 |
2.檢查信號線與接線端子 |
|
3.無流量或流量過小 |
3.檢查傳感元件及引線,檢查閥門,增大流量或縮小管徑 |
|
4.管道堵塞或傳感器被卡死 |
4.檢查清理管道,清洗傳感器 |
|
輸出信號不規則不穩定 |
1.有較強電干擾信號 |
1.加強屏蔽和接地 |
|
2.傳感器被沾污或受潮,靈敏度降低 |
2.清洗或更換傳感器,提高放大器增益 |
|
3.傳感器受損或引線接觸不良 |
3.檢查傳感器及引線 |
|
4.出現兩相流或脈動流 |
4.加強工藝流程管理,消除兩相流或脈動流現象 |
|
5.管道震動的影響 |
5.采限減震措施 |
|
6.工藝流程不穩定 |
6.調整安裝位置 |
|
7.傳感器安裝不同心或密封墊凸入管內 |
7.檢查安裝情況,改正密封墊內徑 |
|
8.上下游閥門擾動 |
8.加長直管段或加裝流動調整器 |
|
9.流體未充滿管道 |
9.更換裝流量傳感器地點和方式 |
|
10.發生體有纏繞物 |
10.消除纏繞物 |
|
11.存在氣穴現象 |
11.降低流速,增加管內壓力 |
|
測量管泄漏 |
1.管內壓力過高 |
1.調整管壓,更改安裝位置 |
|
2.公稱壓力選擇不對 |
2.選用高一檔公稱壓力傳感器 |
|
3.密封件損壞 傳感器被腐蝕 |
3.更換密封件 采取防腐和保護措施 |
|
測量誤差大 |
1.直管段長度不足 |
1.加長直管段或加裝流動調整器 |
|
2.模擬轉換電路零漂或滿量程調整不對 |
2.校正零點和量程刻度 |
|
3.供電電壓變化過大 |
3.檢查電源 |
|
4.儀表超過檢定周期 |
4.及時送檢 |
|
5.傳感器與配管內徑差異較大 |
5.檢查配管內徑,修正儀表系數 |
|
6.安裝不同心或密封墊凸入管內 |
6.調整安裝,修整密封墊 |
|
7.傳感器沾污或損傷 |
7.清洗更換傳感器 |
|
8.有兩相流或脈動流 |
8.排除兩相流或脈動流 |
|
9.管道泄漏 |
9.排除泄漏 |
|
傳感器發出 異常嘯叫聲 |
1.流速過高,引起強烈顫動 |
1.調整流量或更換通徑大的儀表 |
|
2.產生氣穴現象 |
2.調整流量和增加液流壓力 |
|
3.發生體松動 |
3.緊固發生體 |
|
|
1)用戶不得自行更改防爆系統的接線方式和任意擰動各個輸出線接頭。 |
|
2)流量計運行時,不允許隨意打開前蓋改動儀表參數,否則影響流量計的正常工作。 |
|
3)不得隨意松開流量計固定部分。 |
|
4)產品在室外使用時,建議加配防水置。 |